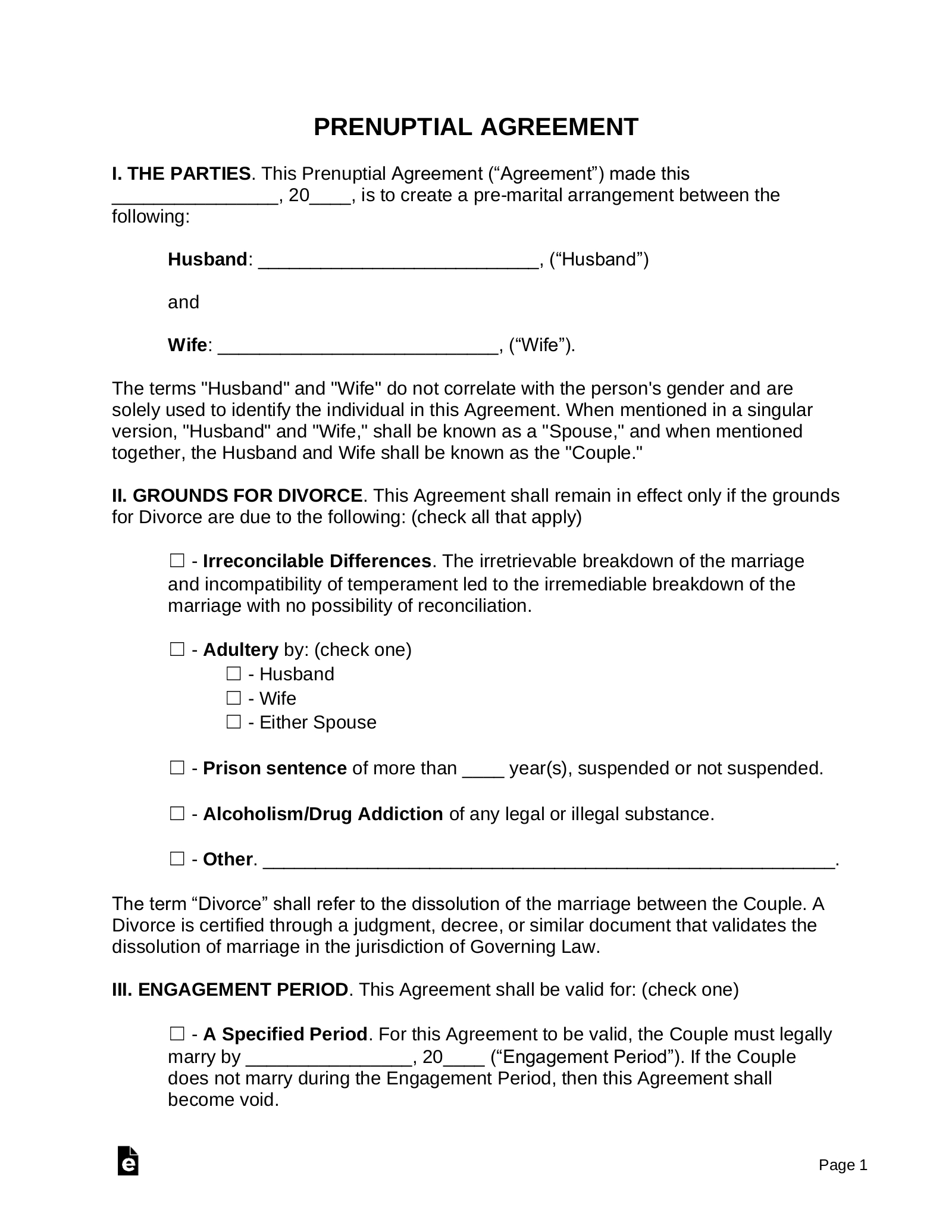
Pdf Free Printable Prenuptial Agreement Form
Are you and your partner planning to tie the knot soon? Congratulations! As you embark on this exciting journey towards marriage, it’s essential to have open and honest conversations about your future together. One important aspect to consider is a prenuptial agreement, which can help protect both parties in the event of unforeseen circumstances. To make this process easier for you, we have a Pdf Free Printable Prenuptial Agreement Form available for download.
Streamline the Process
Planning a wedding can be overwhelming, but discussing and drafting a prenuptial agreement doesn’t have to be. With our Pdf Free Printable Prenuptial Agreement Form, you can streamline the process and ensure that all necessary details are included. This form allows you and your partner to outline your assets, debts, and other important financial information in a clear and organized manner. By having everything in writing, you can avoid misunderstandings and conflicts in the future.
Moreover, our printable form is designed to be user-friendly and easy to fill out. You don’t need to be a legal expert to understand and complete the document. Simply download the Pdf file, print it out, and start working on it together with your partner. This tool can help facilitate constructive conversations about finances and expectations, setting a solid foundation for your marriage. Remember, a prenuptial agreement is not only about protecting assets but also about creating transparency and trust between partners.
Legal Protection and Peace of Mind
By using our Pdf Free Printable Prenuptial Agreement Form, you can ensure that your interests are protected legally. This document can outline how assets and debts will be divided in case of divorce or separation, as well as address other important issues such as spousal support and inheritance rights. While it may not be the most romantic topic to discuss, having a prenuptial agreement in place can give you peace of mind knowing that you have a plan in case the unexpected happens.
Additionally, a prenuptial agreement can be a valuable tool for couples to clarify their financial expectations and goals. By openly discussing money matters and creating a written agreement, you can avoid potential misunderstandings and conflicts down the road. This document can help you and your partner navigate financial decisions together, fostering a stronger and more trusting relationship. So why wait? Download our Pdf Free Printable Prenuptial Agreement Form today and start planning for your happily ever after.
Related Printables..
Respect for Creators: Our site features images we believe are in the public domain or available for editorial use. We have the utmost respect for intellectual property rights. If you are a copyright holder and find an image used in error, please reach out. We are committed to working with you to address your concerns swiftly.
Pdf Free Printable Prenuptial Agreement Form



