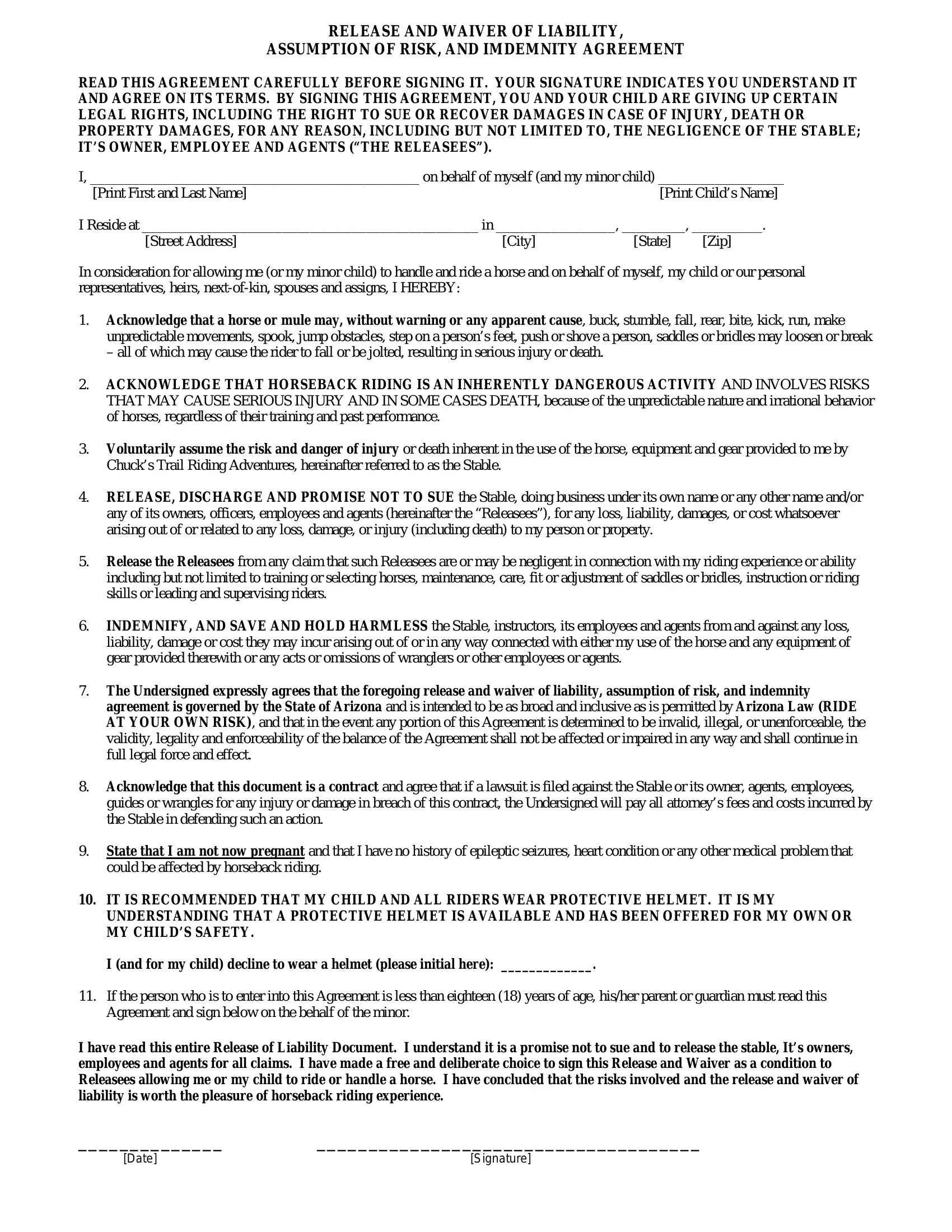
Printable Free Horseback Riding Release Form
Are you looking for a fun and exciting outdoor activity to enjoy with friends and family? Horseback riding might just be the perfect adventure for you! Before you saddle up and hit the trails, it’s important to ensure that you have all the necessary paperwork in order. One essential document you’ll need is a horseback riding release form. This form is designed to protect both you and the stable or facility where you’ll be riding. To make things easier for you, we’ve gathered a collection of printable free horseback riding release forms that you can easily access and fill out before your next ride.
Stay Safe and Ride Responsibly
When it comes to horseback riding, safety should always be a top priority. Whether you’re a seasoned equestrian or a beginner rider, accidents can happen, and it’s crucial to be prepared. By signing a horseback riding release form, you acknowledge the inherent risks involved in horseback riding and agree to release the facility from any liability in case of an accident. This form also typically includes important information about your riding experience, any medical conditions that may affect your ability to ride safely, and emergency contact information. Filling out this form ensures that both you and the facility are on the same page when it comes to safety protocols and procedures.
Download Your Free Release Form Today
Ready to hit the trails? Don’t forget to download and fill out your free horseback riding release form before your next ride. These printable forms are easy to access and can be customized to include all the necessary information for your ride. Whether you’re heading to a local stable or planning a horseback riding excursion, having a signed release form on hand will give you peace of mind and ensure a safe and enjoyable ride. So saddle up, grab your helmet, and get ready for an unforgettable horseback riding experience!
Related Printables..
Respect for Creators: Our site features images we believe are in the public domain or available for editorial use. We have the utmost respect for intellectual property rights. If you are a copyright holder and find an image used in error, please reach out. We are committed to working with you to address your concerns swiftly.
Printable Free Horseback Riding Release Form



